人才招聘
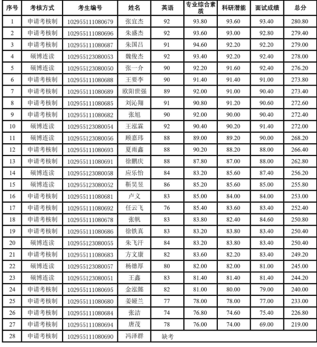
由william威廉亚洲官方组织的2025年博士面试考核已经结束,现将考核成绩公布如下:
william威廉亚洲官方
2025年1月13日
上一篇:2025年博士研究生拟录取名单公示(第一批)
下一篇:2025年博士综合考核安排
版权所有:william威廉亚洲官方-williamhill官网
地址:江苏省无锡市蠡湖大道1800号william威廉亚洲官方 邮编:214122 联系方式:0510-85910562服务邮箱:jxgcxy@jiangnan.edu.cn